鈦合金因其良好的綜合性能,已經被廣泛應用于航空航天、海洋、醫療等領域[1]。TC4 (Ti6Al4V)是一種 α+β 雙相鈦合金,含有 6% (質量分數,下同)的 α 相穩定元素 Al 和 4% 的 β 相穩定元素 V[2],約占目前所用鈦合金產品的 60%。目前,國內TC4鈦合金正在被研究用于汽輪機葉片,成為代替馬氏體耐熱不銹鋼和沉淀硬化不銹鋼的材料[3],期望減少末級葉片的腐蝕破壞問題,延長壽命。但鈦合金表面也存在硬度低、耐磨性及高溫抗氧化性差等缺點,限制了其進一步應用。為了使鈦合金零部件能夠在復雜的環境下正常服役,采用表面改性處理來提高鈦合金的表面性能被越來越多的研究者所重視。其中,噴丸處理已成為TC4鈦合金結構件重要的表面處理方法[4]。
噴丸處理通過使高能量的彈丸不斷撞擊鈦合金表面,產生劇烈塑性變形,起伏程度增大,粗糙度發生變化,同時也引入了大量位錯和晶界,使鈦合金表面晶粒納米化[5]。由于沿晶界的擴散系數比在晶粒內和沿位錯管道的擴散系數大得多,因此晶界大大促進了原子的擴散[6,7],使表面鈍化膜快速形成,有利于耐蝕性的提高。但鈦合金的耐腐蝕性能還與表面狀態有關,噴丸處理造成的表面粗糙度過大以及噴丸過程中殘留在表面的彈丸碎屑都會使材料的耐蝕性能惡化[8]。
目前,對鈦合金進行噴丸處理的研究更多集中于疲勞性能。李康等[9]研究了濕噴丸技術對TC4鈦合金疲勞壽命的影響。張聰惠等[10]通過超聲波噴丸處理提高了TC4鈦合金的疲勞極限。黃宇等[11]研究了深冷激光噴丸對 TC6 鈦合金振動疲勞壽命的影響。Tan等[12]研究了TC17合金葉片在集成制造工藝條件下的表面完整性和疲勞性能。Soyama 等[13]通過空化噴丸、激光噴丸和顆粒噴丸對 Ti6Al4V 鈦合金處理的平面彎曲疲勞實驗 ,闡明了增材制造Ti6Al4V疲勞強度提高的機理。在利用噴丸處理改善鈦合金的耐蝕性方面,報道較少,特別是缺乏關于噴丸后表面狀態對鈦合金耐腐蝕性能影響的研究。
本工作分別采用鑄鋼丸噴丸、玻璃丸噴丸和鑄鋼丸與玻璃丸復合噴丸對TC4鈦合金表面進行處理,通過在 3.5% (質量分數) NaCl 溶液中的電化學實驗,探討了噴丸處理后表面狀態對TC4鈦合金的耐蝕性影響。
1、 實驗方法
試樣材料為TC4鈦合金 (Ti6Al4V),主要化學成分 (質量分數,%):Al 6.24,V 4.01,Fe 0.20,Si 0.12,C 0.03,N 0.02,H 0.0021,O 0.14,Ti 余量。TC4鈦合金試樣的尺寸為15 mm×15 mm×10 mm,用SiC砂紙由粗到細打磨至 2000#后,用 1.5 μm 的金剛石拋光膏拋光,經無水乙醇、去離子水去油、去污后,吹干待用。噴丸處理采用氣動式噴丸機噴丸,噴丸介質為鑄鋼丸,以及玻璃丸,覆蓋率均大于 100%。噴丸方式有鑄鋼丸噴丸處理 (CSSP),玻璃丸噴丸處理(GSP),以及鑄鋼丸與玻璃丸復合噴丸處理 (CSP)。
利用場發射掃描電鏡 (FE-SEM,Thermo FisherAPREO) 觀察分析噴丸處理后的表面形貌,并用其配備的電子能譜儀 (EDS),對噴丸處理前后的試樣表面進行成分分析。
采用LEXT-OLS5000激光共聚焦顯微鏡(CLSM) 觀察分析噴丸處理前后TC4鈦合金的表面三維形貌、表面比表面積和粗糙度輪廓線,選取輪廓線各個點絕對值的算術平均值 Ra、均方根 Rq和剖面的平均最大高度Rz來表征TC4鈦合金表面粗糙度。
每個試樣選6個區域測試,然后取平均值,測量前用無水乙醇清洗試樣以去除表面污染。
利用 X 射線衍射儀 (XRD,Bruker D8 Advance)對噴丸后TC4鈦合金表面進行物相成分分析,采用Cu 靶,Kα波長 0.15418 nm,管電壓 40 kV,管電流為40 mA,2θ掃描角度范圍20°~80°,掃描步長0.1°,每步停留0.15 s。
電化學測試采用 Zahner zennium 電化學工作站 ,所用電解質為3.5%NaCl 溶 液 ,實驗溫度為23 ℃。測試采用三電極體系,飽和甘汞電極 (SCE)為參比電極,鉑片為輔助電極,硅膠封裝的TC4鈦合金為工作電極。
測試前TC4鈦合金先在 3.5%NaCl 溶液中浸泡2 h,待開路電位穩定后進行電化學測試。電化學阻抗譜 (EIS) 測試頻率范圍為105~10-2 Hz,交流擾動電壓為10 mV,使用ZSimpWin軟件對數據進行擬合分析。動電位極化測試的電位掃描范圍為-0.5 (vs.OCP)~+2 V (vs.SCE),掃速1 mV/s。在實驗選定的2種鈍化膜成膜電位下 (+1.1和+1.3 V) 下恒電位極化3 h 后,進行 Mott-Schottky 測試,由高電位向低電位掃描 ,即測試區間從成膜電位掃描至-1.2 V (vs.SCE),測試頻率為 1 kHz,步長為 25 mV,交流信號為10 mV。
2、 結果與討論
2.1 表面形貌分析
圖1為TC4鈦合金拋光后的表面形貌。可以看出,噴丸前TC4鈦合金表面光滑平整,沒有缺陷。圖2a 和 b 為TC4鈦合金鑄鋼丸噴丸處理后的表面形貌。可以看到,高能量鑄鋼丸撞擊產生凹坑,但凹坑較淺,凹坑的周邊由于彈丸撞擊而有翹起的現象。

圖1 噴丸前TC4鈦合金表面形貌
Fig.1 Surface morphology of TC4 Ti-alloy before shot peening
圖2c和d與圖2e和f分別是玻璃丸噴丸和復合噴丸后的表面形貌,與鑄鋼丸噴丸相比,凹坑變小,但彈丸撞擊的凹坑密度明顯增大,試樣表面起伏比較大,出現許多翹起來的褶皺,甚至存在一定程度的起皮。

圖2TC4鈦合金經鑄鋼丸噴丸、玻璃丸噴丸和復合噴丸處理后的表面形貌
Fig.2 SEM surface images of TC4 Ti-alloy with CSSP (a, b), GSP (c, d) and CSP (e, f) treated
這是因為玻璃丸在撞擊TC4鈦合金表面時,許多凹坑相互擠壓,凹坑周圍出現翹起來的褶皺;同時產生一定的微裂紋,微裂紋不斷交叉和擴展,使翹起來的褶皺形成起皮[14]。除此之外,還可以看到,玻璃丸和復合噴丸TC4鈦合金表面分布有大量的黑色團狀噴丸殘留物。
圖3為TC4鈦合金噴丸處理前后表面三維形貌圖。圖中出現局部的凸起 (紅色區域) 和凹坑 (藍色區域),更能直觀表現噴丸處理后彈丸沖擊TC4鈦合金試樣表面形成的高低起伏的形貌特征。圖2所示TC4鈦合金經鑄鋼丸噴丸、玻璃丸噴丸和復合噴丸處理后表面的最大高度差分別為 3.377、11.081、14.224 和 17.348 μm,說明鑄鋼丸、玻璃丸和復合噴丸處理造成的表面起伏程度逐漸增大。

圖3TC4鈦合金經鑄鋼丸噴丸、玻璃丸噴丸和復合噴丸處理后表面三維形貌圖
Fig.3 Three-dimensional surface topographies of TC4 Ti-alloy with untreated (a) and CSSP (b), GSP (c) and CSP (d) treated
表1為TC4鈦合金的表面粗糙度參數以及比表面積。可以看出,拋光后的TC4鈦合金粗糙度Ra最小,為0.059 μm;鑄鋼丸噴丸、玻璃丸噴丸和復合噴丸處理后的粗糙度 Ra分別為 0.550、0.602 和 0.676 μm,表面粗糙度參數依次增大,這與圖3所得結論一致。

隨著表面粗糙度的增大,比表面積也在增大,表明TC4鈦合金與腐蝕介質接觸的有效真實面積越大,會導致腐蝕速率增大[15,16]。除此之外,粗糙度過大也會造成表面損傷,引起應力集中,萌生微裂紋,不利于表面性能的提高[10]。表面粗糙度對材料鈍化層的形成也起著重要作用,一般來說,光滑的表面比粗糙的表面具有更好的耐腐蝕性[17]。
2.2 表面成分分析
圖 4 是TC4鈦合金及經鑄鋼丸噴丸、玻璃丸噴丸和復合噴丸處理后的 EDS 結果。可知,TC4鈦合金表面在鑄鋼丸噴丸處理后Fe含量有所增加,復合噴丸處理后Fe含量略微下降,但仍高于TC4鈦合金與玻璃丸噴丸處理試樣,表明在鑄鋼丸基礎上進行玻璃丸噴丸,可以起到降低鑄鋼丸噴丸殘留物含量的作用。除此之外,在玻璃丸噴丸與復合噴丸處理之后,TC4鈦合金表面 O、Si 顯著增加,Ti、V 含量隨之下降。結合對TC4鈦合金表面的粗糙度分析,表明在玻璃丸噴丸過程中,由于玻璃丸撞擊產生的凹坑分布更均勻,玻璃丸的碎屑嵌入了試樣表面,引入了O和Si,噴丸殘留物的覆蓋面更大,使得能譜儀檢測到的Ti、V含量下降。所以,在鑄鋼丸噴丸處理的基礎上進行玻璃丸噴丸處理,雖然可以起到降低鑄鋼丸噴丸殘留物含量的作用,但也引入了新的玻璃丸噴丸殘留物。

圖4 未處理的TC4鈦合金及經噴丸處理的表面EDS結果
Fig.4 Surface EDS analysis results of the surfaces of TC4 Ti-alloy with untreated (a), CSSP (b), GSP (c) and CSP (d) treated
2.3 XRD譜分析
圖 5 為噴丸處理前后TC4鈦合金表面的 XRD譜。可以觀察到,Ti的密排六方緊密堆積 (hcp) 晶體結構,以及體心立方 (bcc) 晶體結構所對應的衍射峰,尖銳、強烈的峰證實了該合金高度的結晶性。

圖5 未處理的TC4鈦合金及噴丸處理后TC4鈦合金的XRD譜
Fig.5 XRD patterns of TC4 Ti-alloy before and after treatment by CSSP, GSP and CSP
XRD譜沒有出現其他物相的衍射峰。由EDS分析可知是因為包括噴丸殘留元素在內的其他元素含量相對較少。與未表面處理的TC4鈦合金相比,噴丸后TC4鈦合金的 X 射線 Bragg 衍射峰未發生明顯的變化。利用Scherrer-Wilson方程,可以近似計算出TC4鈦合金、經鑄鋼丸噴丸、玻璃丸噴丸和復合噴丸處理后的平均晶粒尺寸,分別為154,166,180和152 nm。
表明與未處理的TC4鈦合金相比,TC4鈦合金經噴丸處理后,平均晶粒尺寸未發生明顯變化,所用噴丸工藝對TC4鈦合金的表層影響有限。所以,噴丸處理后TC4鈦合金的耐蝕性主要由表面狀態決定。
2.4 動電位極化測試
圖6為4種試樣在3.5%NaCl溶液中的動電位極化曲線。可見,4 種TC4鈦合金的極化曲線上沒有明顯的活化—鈍化過渡,在很寬的電位區間內,試樣保持較低的陽極電流密度,表明噴丸處理前后TC4鈦合金都能自發鈍化[18],而且噴丸處理后的TC4鈦合金在3.5%NaCl溶液中的極化曲線走勢基本一致。

圖6 未處理的TC4鈦合金及噴丸處理TC4鈦合金在3.5%NaCl溶液中的動電位極化曲線
Fig.6 Dynamic potential polarization curves of TC4 Ti-alloy without and with CSSP, GSP and CSP treatment in 3.5%NaCl solution
根據 Tafel 曲線外推法擬合出的相關電化學參數如表2所示。

表2顯示了TC4鈦合金的腐蝕電位Ecorr,腐蝕電流密度 Icorr,鈍化電流密度 Ipass。可見,噴丸處理使TC4鈦合金的腐蝕電位正移,但腐蝕電流密度卻增大。Ecorr只能反映發生腐蝕的傾向,并不能說明腐蝕速率的快慢[19]。而電極材料的腐蝕速率與腐蝕電流密度相關,腐蝕電流密度越大,腐蝕速率越快[20]。所以,TC4鈦合金在噴丸處理后,Icorr增大,耐蝕性降低,而且鑄鋼丸噴丸、玻璃丸噴丸、復合噴丸的耐蝕性依次降低。從 Ipass來看,TC4鈦合金噴丸處理后,Ipass增大,表明光滑表面的鈍化膜穩定性更高[17]。噴丸處理之后,鑄鋼丸噴丸處理后的TC4鈦合金的Ipass較低,說明鑄鋼丸噴丸處理TC4鈦合金表面形成的鈍化膜相對穩定一些,鑄鋼丸噴丸殘留物沒有對耐蝕性造成影響。
2.5 電化學阻抗測試
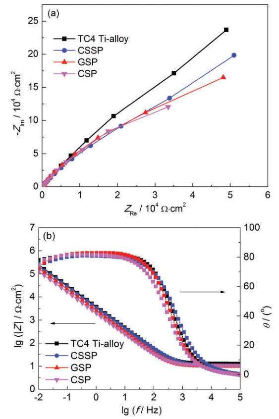
圖 7 是TC4鈦合金在 3.5%NaCl 溶液中電化學阻抗測試得到的Nyquist圖和Bode圖。Nyquist圖中的容抗弧半徑正比于耐蝕性,即容抗弧越大,耐蝕性越好。Bode 圖中的高頻區反映出TC4鈦合金與腐蝕溶液界面的腐蝕特性,中、低頻區反映出TC4鈦合金的特性[21],低頻區阻抗的幅值可以直接說明TC4鈦合金的耐蝕性優劣,阻抗幅值越大,耐蝕性能越好[22]。由圖可知,4 種TC4鈦合金的阻抗模值|Z |、相位角θ隨頻率的變化趨勢大致相同,lg|Z|-lg f曲線在中低頻區表現為一段斜率接近-1 的直線,phase-lg f曲線在中低頻區呈現出相位角很寬的平臺,表明TC4鈦合金有很強的耐蝕性[23]。未處理的TC4鈦合金的容抗弧半徑大于噴丸處理后的,表明TC4鈦合金的耐蝕性能優于噴丸處理后的TC4鈦合金,噴丸處理后的TC4鈦合金中鑄鋼丸噴丸的容抗弧較大,進一步證明鑄鋼丸噴丸的耐蝕性較好,Bode圖中低頻區的阻抗幅值大小也可以說明這一點。

圖7 未處理的TC4鈦合金及噴丸處理TC4鈦合金在3.5%NaCl溶液中的電化學阻抗譜
Fig.7 Nyquist (a) and Bode (b) plots of TC4 Ti-alloy without and with CSSP, GSP and CSP treatment in 3.5%NaCl solution
圖 8 為TC4鈦合金在 3.5%NaCl 液中的等效電路圖,擬合結果見表3。其中,Rs表示參比電極與試樣表面之間溶液電阻;Q 和 n 是常相位角元件的兩個參數 ,Q 為常相位角元件 (CPE),n 為 CPE 常數,-1<n<1。用常相位角元件Q代替純電容,主要是體系處于非理想狀態,試樣表面存在彌散效應。n值和試樣的表面粗糙度有關,n越大,說明試樣表面鈍化膜越致密,更能有效地阻擋腐蝕介質,降低試樣的腐蝕速率[24]。一般也認為,鈦的鈍化膜是分層存在的[25],分為疏松結構的外層和致密的內層阻擋層[18]。所以,Q1、R1和 Q2、R2分別表示鈍化膜外部多孔層和內部致密層的電容和電阻。

圖8 未處理的TC4鈦合金及噴丸處理TC4鈦合金在3.5%NaCl溶液中的等效擬合電路圖
Fig.8 Equivalent circuit model of TC4 Ti-alloy without and with CSSP, GSP and CSP treatment in 3.5%NaCl solution

通過表 3 可知,電化學阻抗的擬合誤差值 (χ2)為10-5數量級,處于誤差范圍之內,說明使用的等效電路模型符合要求。TC4鈦合金的鈍化膜外層電阻R1均遠小于 R2,表明TC4鈦合金的耐蝕性能主要取決于鈍化膜內部致密層,而外部疏松多孔層對耐腐蝕性的貢獻較小[18]。表中拋光后的TC4鈦合金的R2最大,表明其耐蝕性最好;其次是鑄鋼丸噴丸、玻璃丸噴丸和復合噴丸處理TC4鈦合金,耐蝕性按順序依次減小。另外,噴丸處理后,鑄鋼丸噴丸TC4鈦合金表面致密層的彌散系數 n2相對較大,表明鑄鋼丸噴丸后表面的鈍化膜更加穩定,有更好的自我修復能力,這與極化曲線結論一致。
2.6 Mott-Schottky測試
材料表面形成的鈍化膜通常為半導體,其電子性能可以用 Mott-Schottky 分析進行評價[26]。根據Mott-Schottky理論,金屬-電解質界面的電荷分布可以通過鈍化膜的空間電荷電容 Csc和電極電位 E 的函數,即Mott-Schottky方程來描述[28]。
對于n型半導體:為10-5數量級,處于誤差范圍之內,說明使用的等效電路模型符合要求。TC4鈦合金的鈍化膜外層電阻R1均遠小于 R2,表明TC4鈦合金的耐蝕性能主要取決于鈍化膜內部致密層,而外部疏松多孔層對耐腐蝕性的貢獻較小[18]。表中拋光后的TC4鈦合金的R2最大,表明其耐蝕性最好;其次是鑄鋼丸噴丸、玻璃丸噴丸和復合噴丸處理TC4鈦合金,耐蝕性按順序依次減小。另外,噴丸處理后,鑄鋼丸噴丸TC4鈦合金表面致密層的彌散系數 n2相對較大,表明鑄鋼丸噴丸后表面的鈍化膜更加穩定,有更好的自我修復
能力,這與極化曲線結論一致。
2.6 Mott-Schottky測試
材料表面形成的鈍化膜通常為半導體,其電子性能可以用 Mott-Schottky 分析進行評價[26]。根據Mott-Schottky理論,金屬-電解質界面的電荷分布可以通過鈍化膜的空間電荷電容 Csc和電極電位 E 的函數,即Mott-Schottky方程來描述[28]。
對于n型半導體:
式中,Csc為空間電荷電容,εr為鈍化膜相對介電常數 (TiO2鈍化膜取 60[27]),ε0為真空介電常數 (8.854×10-14 F/cm),e 為電荷電量 (1.602×10-19 C),Nd和 Na分別為施主和受主載流子濃度,A 為試樣與液體的真實接觸面積 (已經測得TC4鈦合金噴丸后的比表面積分別為 1.076、1.105 和 1.119,與噴丸前試樣表面積 2.25 cm2相乘,可得鑄鋼丸噴丸、玻璃丸噴丸和復合噴丸TC4鈦合金的真實面積分別為為 2.42、2.49 和 2.52 cm2),Efb為平帶電位,k 為 Boltzmann 常數 (1.38×10-23 J/K),T為熱力學溫度。室溫下kT/e約為25 mV,通常可以忽略不計。
在鈍化區內,TC4鈦合金表面的主要電化學反應是鈍化膜的形成,只要施加一定的鈍化電位,表面就能生成阻值很高的鈍化膜,并且隨電位升高鈍化膜會持續生長[28]。所以在動電位極化曲線鈍化區間選+1.1和+1.3 V電位,進行恒電位極化成膜,并測試Mott-Schottky 曲 線 。 圖 9 為 4 種 TC4 鈦 合 金 在3.5%NaCl 溶液中+1.1 和+1.3 V 恒電位下測試的Mott-Schottky 曲線。由圖可知,4 種TC4鈦合金的Mott-Schottky 曲線變化趨勢大致相同,都出現兩個不同斜率的線性區。高電位區的線性區反映測試材料的介電行為,而低電位區的線性區才代表測試材料的半導體特性[29,30]。圖中TC4鈦合金 Mott-schott‐ky曲線的低電位區斜率為正值,且斜率隨成膜電位的增加而增加,表明 4 種試樣表面生成的鈍化膜均為 n 型半導體,即主要載流子為間隙 Ti 離子和氧空位,鈍化膜中的載流子隨成膜電位的增加而減少,與Fattah-alhosseini所得結論一致[31]。選取低電位線性區對試樣半導體特性進行分析,根據 Mott-Schottky方程計算載流子密度值Nd和平帶電位Efb,Nd可以通過 1/C2-E 曲線的斜率 2/(eεrε0kA2) 確定,平帶電位 Efb可以由1/C2=0求得。

圖9 未處理的TC4鈦合金及復合噴丸處理后在3.5%NaCl溶液中的Mott-Schottky曲線
Fig.9 Mott-schottky curves of TC4 Ti-alloy without (a) and with CSSP (b), GSP (c) and CSP (d) in 3.5%NaCl solution
圖 10 為未處理的TC4鈦合金、鑄鋼丸噴丸、玻璃丸噴丸和復合噴丸處理后在 3.5%NaCl 溶液中恒電位極化所形成鈍化膜的Nd和Efb。可知,TC4鈦合金的 Nd最小,噴丸試樣中,鑄鋼丸噴丸后表面生成鈍化膜的載流子密度最小。載流子密度越小,意味著鈍化膜的缺陷越少,施主密度的降低會抑制電子的轉移,進而抑制電化學反應,從而增強了鈍化膜的保護能力[32]。隨成膜電位的升高,Efb正移,也說明鈍化膜對TC4鈦合金的保護效果提高[33]。所以,拋光后TC4鈦合金形成的鈍化膜中具有最少的缺陷,因而保持了較低的Ipass。

圖10 未處理的TC4鈦合金及噴丸處理后在3.5%NaCl溶液中鈍化膜的Nd和Efb
Fig.10 Nd (a) and Efb (b) of passive films formed on TC4 Ti-alloy without and with CSSP, GSP and CSP treatment in 3.5%NaCl solution
根據以上分析,拋光TC4鈦合金生成的鈍化膜穩定性強,耐蝕性最高,說明光滑的表面有助于形成均勻的鈍化膜層,增加基體的耐蝕性。噴丸處理后,鑄鋼丸噴丸TC4鈦合金的鈍化膜耐蝕性最好。
結合表面形貌及 EDS、XRD 分析可知,與少量噴丸殘留物相比,噴丸后表面的粗糙度對TC4鈦合金的耐蝕性影響更大。由于玻璃丸噴丸和復合噴丸后,TC4鈦合金表面粗糙度較大,所以與鑄鋼丸噴丸相比,耐蝕性降低。
3、 結論
(1) 噴丸前拋光的TC4鈦合金表面光滑平整,沒有缺陷。鑄鋼丸噴丸TC4鈦合金處理后的表面存在凹坑,但凹坑較淺,凹坑的周邊由于彈丸撞擊而有翹起的現象。與鑄鋼丸噴丸處理相比,玻璃丸噴丸和復合噴丸后TC4鈦合金表面的凹坑變小,但凹坑密度明顯增大,表面起伏比較大,出現許多翹起來的褶皺,甚至存在一定程度的起皮。而且噴丸后TC4鈦合金表面少量的噴丸殘留物,鑄鋼丸噴丸殘留物以Fe 為主,玻璃丸噴丸殘留物主要是 Si,復合噴丸后表面殘留物同時含Si和Fe。
(2) 拋光后TC4鈦合金的粗糙度 Ra 最小 ,為0.059 μm;噴丸處理后,表面發生塑性形變,粗糙度發生變化,鑄鋼丸噴丸、玻璃丸噴丸和復合噴丸處理后的粗糙度Ra分別為 0.550,0.602和 0.676 μm,表面粗糙度參數依次增大。所用噴丸工藝對TC4鈦合金表層的影響有限,噴丸處理后TC4鈦合金的耐蝕性主要由表面狀態決定。
(3) 在 3.5%NaCl 溶液中,拋光后的TC4鈦合金的 Icorr最小,致密層的電阻 R2最大,形成的鈍化膜缺陷較少,因而能夠保持較低 Ipass,耐蝕性最強。噴丸處理的TC4鈦合金中,鑄鋼丸噴丸處理后的鈍化膜最穩定,耐蝕性相對較高。與少量噴丸殘留物相比,表面粗糙度的大小對耐蝕性影響較大。所以,光滑的表面有助于形成均勻的鈍化膜層,增加TC4鈦合金的耐蝕性。
參考文獻
[1] Prakash C, Singh S, Pruncu C I, et al. Surface modification of Ti-6Al-4V alloy by electrical discharge coating process using partially sintered Ti-Nb electrode [J]. Materials (Basel), 2019, 12: 1006
[2] Krawiec H, Vignal V, Schwarzenboeck E, et al. Role of plastic de‐formation and microstructure in the micro-electrochemical behav‐iour of Ti-6Al-4V in sodium chloride solution [J]. Electrochim. Ac‐ta, 2013, 104: 400
[3] Kuang Y Q. Research on the application prospect of titanium alloy on steam turbine blades [J]. Jiangsu Sci. Technol. Inform., 2013,(1): 67
(匡逸強 . 鈦合金在汽輪機葉片上的應用前景研究 [J]. 江蘇科技信息, 2013, (1): 67)
[4] Chen G Q, Tian T Y, Zhang X H, et al. Microstructure and fatigue properties of Ti-6Al-4V titanium alloy treated by wet shot peening of ceramic beads [J]. Chin. J. Nonferrous Met., 2013, 23: 122
(陳國清, 田唐永, 張新華等. Ti-6Al-4V鈦合金陶瓷濕噴丸表面強化微觀組織與疲勞性能 [J]. 中國有色金屬學報, 2013, 23: 122)
[5] Yang C, Liu Y G, Li M Q. Characteristics and formation mecha‐nisms of defects in surface layer of TC17 subjected to high energy shot peening [J]. Appl. Surf. Sci., 2020, 509: 144711
[6] Oh-Ishi K, Edalati K, Kim H S, et al. High-pressure torsion for en‐hanced atomic diffusion and promoting solid-state reactions in the aluminum-copper system [J]. Acta Mater., 2013, 61: 3482
[7] Oudriss A, Creus J, Bouhattate J, et al. Grain size and grain-bound‐ary effects on diffusion and trapping of hydrogen in pure nickel [J].Acta Mater., 2012, 60: 6814
[8] Zhao R, Wu Z, Liu L, et al. Research progress in effect of shot peen‐ing on corrosion resistance of metallic materials [J]. Heat Treat.Met., 2018, 43(12): 88
(趙蓉, 吳忠, 劉磊等. 噴丸對金屬材料耐蝕性能影響的研究進展[J]. 金屬熱處理, 2018, 43(12): 88)
[9] Li K, Fu X S, Li Z Q, et al. Fatigue fracture mechanism of Ti-6Al-4V alloy strengthened by wet peening treatment [J]. Rare Met. Ma‐ter. Eng., 2017, 46: 3068
(李康, 付雪松, 李志強等. 濕噴丸強化對TC4合金疲勞斷裂機制的影響 [J]. 稀有金屬材料與工程, 2017, 46: 3068)
[10] Zhang C H, Xie G, Song W, et al. Fatigue performance of surface nanocrystallized TC4 [J]. Rare Met. Mater. Eng., 2015, 44: 866
(張聰惠, 解鋼, 宋薇等. 表面納米化TC4疲勞性能研究 [J]. 稀有金屬材料與工程, 2015, 44: 866)
[11] Huang Y, Zhou J Z, Li J, et al. Effects of cryogenic laser peening on damping characteristics and vibration fatigue life of TC6 titani‐um alloy [J]. Chin. J. Laser, 2020, 47: 0402011
(黃宇, 周建忠, 李京等. 深冷激光噴丸對TC6鈦合金阻尼特性及振動疲勞壽命的影響 [J]. 中國激光, 2020, 47: 0402011)
[12] Tan L, Yao C F, Zhang D H, et al. Evolution of surface integrity and fatigue properties after milling, polishing, and shot peening of TC17 alloy blades [J]. Int. J. Fatigue, 2020, 136: 105630
[13] Soyama H, Takeo F. Effect of various peening methods on the fa‐tigue properties of titanium Alloy Ti6Al4V manufactured by direct metal laser sintering and electron beam melting [J]. Materials,2020, 13: 2216
[14] Yang L. Analysis of surface roughness and impairment after sur‐face nanocrystallization for HSP [D]. Dalian: Dalian Jiaotong Uni‐versity, 2006
(楊磊. 高能噴丸表面納米化后表面粗糙度和損傷的研究 [D]. 大連: 大連交通大學, 2006)
[15] Lee H S, Kim D S, Jung J S, et al. Influence of peening on the cor‐rosion properties of AISI 304 stainless steel [J]. Corros. Sci., 2009,51: 2826
[16] Hao Y W, Deng B, Zhong C, et al. Effect of surface mechanical at‐trition treatment on corrosion behavior of 316 stainless steel [J]. J.Iron Steel Res. Int., 2009, 16: 68
[17] Chi G F, Yi D Q, Liu H Q. Effect of roughness on electrochemical and pitting corrosion of Ti-6Al-4V alloy in 12 wt.%HCl solution at 35 ℃ [J]. J. Mater. Res. Technol., 2020, 9: 1162
[18] Xu J, Bao X K, Jiang S Y. In vitro corrosion resistance of Ta2N nanocrystalline coating in simulated body fluids [J]. Acta Metall.Sin., 2018, 54: 443
(徐江, 鮑習科, 蔣書運 . 納米晶 Ta2N 涂層在模擬人體環境中的耐蝕性能研究 [J]. 金屬學報, 2018, 54: 443)
[19] Li X, Dong Y C, Dan Z H, et al. Corrosion behavior of ultrafine grained pure ti processed by equal channel angular pressing [J].Acta Metall. Sin., 2019, 55: 967
(李鑫, 董月成, 淡振華等. 等通道角擠壓制備超細晶純Ti的腐蝕性能研究 [J]. 金屬學報, 2019, 55: 967)
[20] Xie F X, He X B, Cao S L, et al. Influence of pore characteristics on microstructure, mechanical properties and corrosion resistance of selective laser sintered porous Ti–Mo alloys for biomedical ap‐plications [J]. Electrochim. Acta, 2013, 105: 121
[21] Shukla A K, Balasubramaniam R, Bhargava S. Properties of pas‐sive film formed on CP titanium, Ti-6Al-4V and Ti-13.4Al-29Nb alloys in simulated human body conditions [J]. Intermetallics,2005, 13: 631
[22] Yang Y J, Zhang X Y, Liu M H. Galvanic corrosion of TB5 titani‐um alloy of anodic oxidation film [J]. J. Aeronaut. Mater., 2015, 35(5): 57
(楊勇進, 張曉云, 劉明輝. TB5鈦合金脈沖陽極氧化膜電偶腐蝕性能研究 [J]. 航空材料學報, 2015, 35(5): 57)
[23] Yang F, Wu J P, Guo D Z, et al. Electrochemical corrosion of Ti-Ta alloy in nitric acid [J]. Titanium Ind. Prog., 2018, 35(2): 22
(楊帆, 吳金平, 郭荻子等 . Ti-Ta 合金在硝酸中電化學腐蝕研究[J]. 鈦工業進展, 2018, 35(2): 22)
[24] Shi K Y, Zhang J Z, Zhang Y, et al. Preparation and corrosion resis‐tance of Nb2N coating on TC4 Ti-alloy [J]. J. Chin. Soc. Corros.Prot., 2019, 39: 313
(史昆玉, 張進中, 張毅等 . Nb2N 涂層制備及其耐腐蝕性能研究[J]. 中國腐蝕與防護學報, 2019, 39: 313)
[25] Wang L, Yi D Q, Liu H Q, et al. Effect of Ru on corrosion behav‐ior of Ti-6Al-4V alloy and its mechanism [J]. J. Chin. Soc. Corros.Prot., 2020, 40: 25
(王樂, 易丹青, 劉會群等. Ru對Ti-6Al-4V合金腐蝕行為的影響及機理研究 [J]. 中國腐蝕與防護學報, 2020, 40: 25)
[26] Jiang Z L, Xin D, Middleton H. Investigation on passivity of titani‐um under steady-state conditions in acidic solutions [J]. Mater.Chem. Phys., 2011, 126: 859
[27] Jovic V D, Barsoum M W. Corrosion behavior and passive filmcharacteristics formed on Ti, Ti3SiC2, and Ti4AlN3 in H2SO4 and HCl [J]. J. Electrochem. Soc., 2004, 151: B71
[28] Yan S K, Zheng D J, Wei J, et al. Electrochemical activation of pas‐sivated pure Titanium in artificial seawater [J]. J. Chin. Soc. Cor‐ros. Prot., 2019, 39: 123
(嚴少坤, 鄭大江, 韋江等. 鈍性純Ti在人工海水中的電化學活化行為研究 [J]. 中國腐蝕與防護學報, 2019, 39: 123)
[29] Silva R A, Walls M, Rondot B, et al. Electrochemical and micro‐structural studies of tantalum and its oxide films for biomedical ap‐plications in endovascular surgery [J]. J. Mater. Sci.: Mater. Med.,2002, 13: 495
[30] Schneider M, Schroth S, Schilm J, et al. Micro-EIS of anodic thinoxide films on titanium for capacitor applications [J]. Electrochim.Acta, 2009, 54: 2663
[31] Fattah-Alhosseini A, Imantalab O, Ansari G. The role of grain re‐finement and film formation potential on the electrochemical be‐havior of commercial pure titanium in Hank's physiological solu‐tion [J]. Mater. Sci. Eng., 2017, 71C: 827
[32] Zheng Z J, Gao Y, Gui Y, et al. Corrosion behaviour of nanocrystal‐line 304 stainless steel prepared by equal channel angular pressing[J]. Corros. Sci., 2012, 54: 60
[33] Zhang C H, Song W, Wang Y M, et al. Effect of surface strengthen‐ing on corrosion property of Ti-6Al-4V in 3.5%NaCl [J]. Appl.Mech. Mater., 2016, 853: 473
相關鏈接